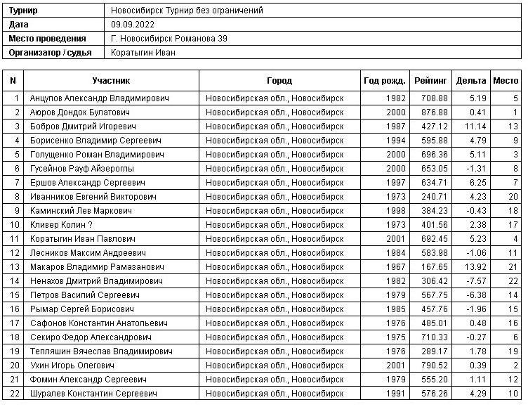
09.09.2022г., Турнир без ограничений